
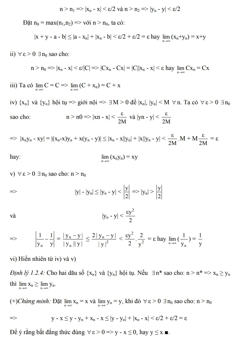
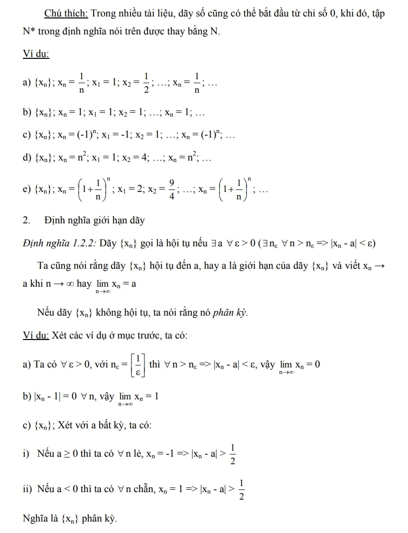
Sách Giải Tích 1 công cụ học tập không thể thiếu cho học sinh và sinh viên yêu thích Toán. Cuốn sách cung cấp hệ thống kiến thức Giải Tích cơ bản và nâng cao, từ giới hạn, đạo hàm, tích phân đến ứng dụng thực tế, giúp người học nắm vững lý thuyết và rèn luyện kỹ năng giải bài tập hiệu quả. Với cách trình bày rõ ràng, ví dụ minh họa sinh động và bài tập bám sát chương trình giáo dục phổ thông, Sách Giải Tích 1 hỗ trợ tối đa quá trình ôn tập, chuẩn bị thi tốt nghiệp hoặc thi đại học.
Đây là tài liệu lý tưởng cho những ai muốn xây dựng nền tảng vững chắc trong Giải Tích và phát triển tư duy toán học logic. Nắm vững kiến thức từ cuốn sách này sẽ giúp học sinh tự tin vượt qua mọi dạng bài tập Giải Tích 1.
1. Khi PDF thay thế giấy: học toán thời công nghệ

Một điểm làm nên sức hút của sách Giải Tích PDF là tính tiện dụng. Chỉ với một chiếc laptop hoặc điện thoại, bạn có thể truy cập file sách Giải Tích 1, đọc mọi lúc, mọi nơi, thậm chí ghi chú ngay trên tài liệu.
Điều này tạo nên một phong cách học Giải tích mới – không còn phụ thuộc vào thư viện hay sách in, mà là học chủ động, học linh hoạt và học nhanh hơn.
Hàng loạt sinh viên hiện nay chọn Giải Tích 1 Nguyễn Đình Huy bản PDF vì:
-
Tài liệu được biên soạn chuẩn chương trình đại học, đáng tin cậy.
-
Dễ dàng tra cứu công thức, định lý, ví dụ.
-
Có thể kết hợp với các bài tập Giải Tích 1 có lời giải online để tự kiểm tra kết quả.
Giữa thời đại học trực tuyến, tài liệu kỹ thuật số như vậy trở thành “người thầy im lặng” – luôn sẵn sàng giảng lại bài khi bạn chưa hiểu.
2. Hành trình từng bước cùng sách Giải Tích 1

Thay vì chia chương khô khan, hãy tưởng tượng Giải Tích 1 như một hành trình khám phá thú vị:
-
Bước 1 – Giới hạn và liên tục: Bạn làm quen với ý tưởng “tiệm cận” – khi giá trị hàm số tiến gần đến một điểm nào đó. Đây là nền tảng cho mọi chương sau.
-
Bước 2 – Đạo hàm: Bạn bắt đầu thấy Toán trở nên “chuyển động”. Mỗi công thức đạo hàm chính là cách mô tả sự biến thiên của thế giới thực.
-
Bước 3 – Ứng dụng của đạo hàm: Tìm cực trị, tính tốc độ, dự đoán xu hướng – đây là phần thú vị nhất giúp bạn thấy Giải tích không còn trừu tượng.
-
Bước 4 – Tích phân: Là phần “ngược lại” của đạo hàm, nhưng đồng thời lại mở ra khả năng đo đạc diện tích, thể tích, khối lượng trong không gian.
-
Bước 5 – Chuỗi: Bạn chạm đến bản chất của sự vô hạn – chuỗi Taylor, chuỗi Fourier. Một chương vừa khó vừa đẹp, kết tinh của tư duy toán học.
Nếu bạn đi hết hành trình này với sách Giải Tích 1 Nguyễn Đình Huy, bạn sẽ không chỉ hiểu bài, mà còn thấy “Toán có linh hồn”.
3. Bí quyết học Giải Tích không khó như bạn nghĩ

Nhiều sinh viên sợ Giải tích vì nghĩ nó quá trừu tượng. Nhưng sự thật là, Giải Tích 1 chỉ khó nếu bạn học sai cách. Dưới đây là một vài “mẹo” được nhiều giảng viên Toán chia sẻ:
-
Học theo mô hình 3 bước: đọc – làm – kiểm. Đọc kỹ phần lý thuyết trong file sách Giải Tích 1, làm bài tập tương ứng, rồi đối chiếu với bài tập có lời giải.
-
Vẽ hình minh họa: Giới hạn và đạo hàm dễ hiểu hơn nhiều nếu bạn tự phác họa đồ thị.
-
Tự đặt câu hỏi: Tại sao đạo hàm lại liên quan đến vận tốc? Tại sao tích phân lại tính được diện tích? Khi trả lời được những “tại sao”, bạn đã thực sự hiểu.
-
Ôn đều, không học dồn: Giải tích cần thời gian thấm, không phải học thuộc lòng.
-
Và điều quan trọng nhất: đừng sợ sai. Mỗi bài sai là một cơ hội hiểu sâu hơn.
4. Những giá trị thực tế của Giải Tích 1
Nhiều người nghĩ Giải tích chỉ là môn học để thi. Thực ra, kiến thức Giải Tích 1 xuất hiện khắp nơi trong cuộc sống:
-
Khi thiết kế đường cong của cây cầu, đó là đạo hàm và tích phân.
-
Khi mô phỏng chuyển động vật thể trong game, đó là hàm số và đạo hàm.
-
Khi tính lãi suất ngân hàng biến thiên theo thời gian, đó là ứng dụng của hàm số liên tục.
Chính vì vậy, học sách Giải Tích 1 không chỉ để qua môn – mà để mở ra cánh cửa hiểu cách thế giới vận hành bằng ngôn ngữ toán học.
5. Tải sách Giải Tích 1 PDF và bắt đầu ngay
Hiện nay, bạn có thể dễ dàng tìm thấy các bản Giáo trình Giải Tích 1 Nguyễn Đình Huy PDF, sách Giải Tích PDF, hoặc file sách Giải Tích 1 trên các nền tảng học liệu trực tuyến, website học thuật uy tín.
Một số bản còn kèm bài tập Giải Tích 1 có lời giải, cực kỳ hữu ích cho quá trình tự học và ôn thi.
Trước khi tải, bạn nên kiểm tra:
-
Nguồn xuất bản đáng tin cậy.
-
Bản cập nhật mới nhất (tránh lỗi công thức).
-
Phần phụ lục hoặc đề thi mẫu để luyện tập thêm.
Sau khi tải về, hãy tạo một timeline học tập: mỗi tuần 1 chương, 1 đề kiểm tra nhỏ. Chỉ sau 2 tháng, bạn sẽ thấy mình đọc – hiểu – làm được hầu hết dạng bài.
6. Khi Toán không còn là nỗi sợ
Sách Giải Tích 1 không phải là cuốn sách khó đọc. Nó chỉ là thử thách đầu tiên trên con đường học thuật, giúp bạn chuyển từ học thuộc sang tư duy logic. Nếu bạn biết cách tiếp cận – chọn đúng tài liệu như Giáo trình Giải Tích 1 Nguyễn Đình Huy PDF, kết hợp sách Giải Tích PDF và bài tập Giải Tích 1 có lời giải, thì Giải tích sẽ trở thành người bạn thú vị, không còn là áp lực. Hãy bắt đầu hành trình của bạn ngay hôm nay – một chương, một bài tập, một công thức. Vì hiểu được Giải tích, chính là hiểu được nhịp đập của toán học, và phần nào, của vũ trụ.
